Abstract
Background: Intensive chemotherapy will induce a complete morphologic remission (CR) in many adults with acute myeloid leukemia (AML). Whether it matters that a remission is obtained early, i.e. with the first cycle of chemotherapy, has remained controversial. Data from historic and contemporary trials with double induction chemotherapies showed patients who achieved a CR with the first induction cycle were less likely to relapse than those requiring 2 courses of therapy to enter CR. Contrasting these findings, an analysis of 6 ECOG (now ECOG-ACRIN) trials conducted between 1983 and 1993 indicated patients who achieved a CR after 1 or 2 cycles of induction chemotherapy had similar prognoses. The relationship between timing of remission achievement and outcome has not been examined in contemporary cohorts of people treated with 7+3 for AML. Here, we used data from adults participating in 5 SWOG trials between 1983 and 2015 and studied the association between prognosis and need for 7+3 reinduction therapy and how it has changed over time.
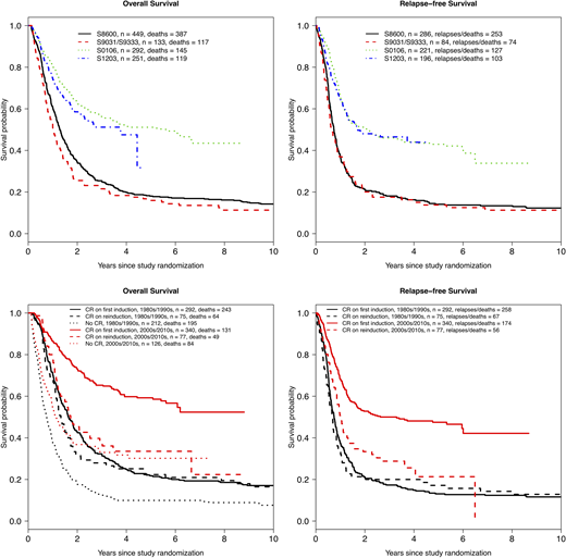
Patients and Methods: We analyzed 1247 patients randomized to 7+3 arms on 5 SWOG studies and restricted to patients age 65 or younger: S8600 (n=530), S9031 (n=98), S9333 (n=57), S0106 (n=301), and S1203 (n=261). S8600 enrolled patients in the 1980s, S9031 and S9333 in the 1990s, S0106 in the 2000s, and S1203 in the 2010s. S9031 and S9333 were analyzed together. All 5 protocol gave 7+3 per contemporary standard, which changed over time: in S8600, S9031, and S9033, the cytarabine and daunorubin doses were 200mg/m2 and 45mg/m2, in S0106 100mg/m2 and 60mg/m2, and in S1203 100mg/m2 and 90mg/m2. CR was defined morphologically. Overall survival (OS) was measured from the date of study registration/randomization to date of death due to any cause; patients last known to be alive were censored at the date of last contact. Relapse-free survival (RFS) was measured from the date of CR to the first of relapse from CR or death due to any cause; patients last known to be alive in CR were censored at the date of last contact. OS and RFS were estimated using the Kaplan-Meier method. Multivariable Cox regression models included covariates (modeled quantitatively unless otherwise specified): age at study registration, gender, cytogenetic risk, pre-study white blood cell counts (WBC), pre-study platelets, pre-study marrow blasts, type of AML (secondary vs. de novo), indicator of receiving reinduction and study/protocol. We analyzed study/protocol separately and also grouped the studies by twenty-year period (S8600/S9031/S9333 representing 1980s and 1990s vs. S0106/S1203 representing 2000s and 2010s).
Results: In multivariable analysis in the older studies, CR achievement only upon reinduction chemotherapy was not significantly associated with OS (hazard ratio (HR)=1.19 [95% confidence interval: 0.89-1.59], P=0.25) or RFS (HR=1.15 [0.86-1.54], P=0.34). These findings are similar to those reported by Rowe and colleagues on 1,980 adults with newly-diagnosed AML treated on 6 consecutive ECOG trials conducted in the 1980s and early 1990s. In contrast, in the contemporary studies we found receiving 2 cycles of induction chemotherapy before CR is documented was associated with worse OS (HR=1.82 [1.24-2.66], P=0.002) and RFS (HR=1.90 [1.34-2.70], P<0.001). Models evaluating the statistical interaction between the two time periods was significant (OS P=0.046; RFS P=0.016). One trial, S0106, had MRD data (n=70). Among patients with CR on the first cycle, having a negative MRD test (n=55) was associated with statistically significantly better OS (P=0.049) and a trend toward better RFS (P=0.098) compared to having a positive MRD test (n=15).
Conclusion: These findings indicate adults with newly-diagnosed AML treated on more recent cooperative group trials who achieve remissions early, i.e. with the first cycle of 7+3 chemotherapy, have better survival outlooks than those who need 2 cycles of chemotherapy to enter a CR, even after adjustment for other risk factors. Need for a second cycle of induction therapy may therefore serve as a post-treatment prognostic factor to refine risk-stratification of adults with AML undergoing curative-intent therapy.
Support: NIH/NCI grants CA180888 and CA180819
Acknowledgment: The authors wish to gratefully acknowledge the important contributions of the late Dr. Stephen H. Petersdorf to SWOG and to study S0106.
Walter:Covagen AG: Consultancy, Other: Clinical Trial Support, Research Funding; Seattle Genetics, Inc: Consultancy, Other: Clinical Trial Support, Research Funding; Boehringer Ingelheim Pharma GmbH & Co. KG: Consultancy; Pfizer, Inc: Consultancy; Aptevo Therapeutics, Inc: Consultancy, Other: Clinical Trial Support, Research Funding; Amphivena Therapeutics, Inc: Consultancy, Other: Clinical Trial Support, Research Funding; Amgen Inc: Other: Clinical Trial Support, Research Funding; Actinium Pharmaceuticals, Inc: Other: Clinical Trial support , Research Funding.
Author notes
Asterisk with author names denotes non-ASH members.

This feature is available to Subscribers Only
Sign In or Create an Account Close Modal